30 June 2012

The report Remuneration of Public Service and State sector senior staff as at 30 June 2012 is provided here as  PDF and Excel files.

Introduction

Cabinet has agreed that remuneration paid to Public Service and State sector senior staff should be disclosed annually in one location. This provides transparency for the taxpaying public around the level of remuneration received by chief executives.

The State Services Commissioner (the Commissioner) takes a total remuneration approach to chief executive remuneration packages, which means that all benefits to a chief executive are valued as components of the package. An explanation of what makes up the components of chief executive remuneration packages can be found here.

The State Services Commissioner’s role

The Commissioner’s role includes setting and reviewing the remuneration of Public Service chief executives, and advising on or approving the proposed terms and conditions of employment of 109 Crown entity (including tertiary education institutions and district health boards) and subsidiary chief executives. The Commissioner therefore has a direct influence on the remuneration received by about 135 chief executive positions in the State sector.

  • Under the State Sector Act 1988, the Commissioner appoints and employs most Public Service chief executives, and reviews their performance. 1
  • The State Sector Act 1988 also requires the boards of tertiary education institutions (Universities, Polytechnics and Wananga) to obtain the written concurrence of the Commissioner to the terms and conditions of employment for their chief executives.
  • The Public Health and Disability Act 2000 requires district health boards to obtain the consent of the Commissioner to the terms and conditions of employment for their chief executives.
  • The Crown Entities Act 2004 requires boards of statutory entities to consult the Commissioner about the terms and conditions of employment for the chief executives.
  • There are a small number of other agencies whose enabling legislation requires the Commissioner to be involved in setting the terms and conditions of employment for their chief executives.

Chief executive remuneration policy

The Commissioner’s remuneration policy is well established, and is designed to provide an environment where high quality leaders are attracted to and encouraged to perform in key roles. The key features of the policy are to:

  • link chief executive remuneration to chief executive remuneration practice in the public sector 2
  • provide flexibility and discretion for the Commissioner to set remuneration policy within broad boundaries determined by the Government
  • link chief executives’ remuneration to their performance, by including a performance related component in their remuneration packages.

The key principles of the remuneration policy continue to be that it:

  • provides the ability to attract, retain and motivate suitable highly competent chief executives
  • is fair and equitable, flexible and transparent
  • has integrity (is statistically sound)
  • is efficient and manageable
  • is legal
  • is affordable
  • meets the Government’s expectations for pay and employment conditions in the State sector
  • supports the business of Government
  • inspires public confidence.

While the economy is recovering from the effects of the global recession, the Government expects that remuneration changes across the State sector will be met within existing funding levels, reflect high performance, be responsible and demonstrate value for money.

The State Services Commissioner’s influence

Figure 1 below illustrates chief executive remuneration as at 1 March 2012, across the public sector in terms of the Commissioner’s degree of influence.

Figure 1: State Services Commissioner’s influence on chief executives’ remuneration – total remuneration lines

 

 

Figure 1: State Services Commissioner’s influence on chief executives’ remuneration – total remuneration lines

 

The solid line in Figure 1 shows Public Service chief executives’ remuneration as the line that the Commissioner sets.  The two lines immediately above it show the remuneration of chief executives in the State sector whose remuneration the Commissioner consents or concurs to (mainly tertiary institutions and district health boards), and those that consult with the Commissioner (the majority of Crown entities). The upper line shows the remuneration of chief executives of organisations over which the Commissioner has no influence, organisations that are in the public sector but are local government bodies or trading enterprises operating in a commercial environment.

The solid line, which reflects remuneration for Public Service chief executives, shows that where the Commissioner has a direct influence on the setting of remuneration, the total remuneration received by this group of chief executives is significantly less than the total remuneration received by chief executives within the wider State sector.For the most recent year, the average movement in base salary, for chief executives in the State Services who have held the same position for at least the previous 12 months was 2.7%. The movement in average base salary across all Public Service staff was 3%.  By comparison, Hay Group advise that the average increase to fixed remuneration packages for New Zealand chief executives and group heads in their "all organisations" database (which includes private sector and public sector) was 4%.  Twenty-one percent of chief executives across the wider public sector 3 received no increase to remuneration during this period.

The Public Service

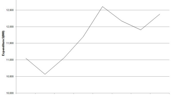
Figure 2 shows expenditure on remuneration, training and development, relocation costs and end of term entitlements for Public Service chief executives. Expenditure increased during the period 2006/07 to 2008/09, reflecting more buoyant labour market conditions and to permit some catch-up of Public Service chief executive remuneration with other parts of the State sector. Decreases in expenditure occurred in 2009/10 and 2010/11, reflecting an environment of continued fiscal restraint and modest remuneration expectations. The increase in expenditure for 2011/12 reflects payments to chief executives with untaken annual leave at the end of their terms, and relocation costs for newly appointed chief executives.  No redundancy payments were made during the 2011/12 year.

The Commissioner sets the individual remuneration for most Public Service chief executives but the overall wage bill is capped by the budget allocated by Government.

Figure 2: Expenditure on Public Service chief executive remuneration, training and development, relocation costs and end of term entitlements 

 

Figure 2: Expenditure on Public Service chief executive remuneration, training and development, relocation costs and end of term entitlements

Remuneration movement guidance for 2012/13

The Commissioner continues to take a conservative approach around increases to remuneration. However, there are instances where larger increases to remuneration are supported by the Commissioner, for example, where there has been a significant increase in a chief executive’s job size.

Crown entity chief executive remuneration is set by Crown entity board chairs. To provide consistency in the Commissioner's guidance around Crown entity chief executive remuneration, for the 2011/12 year the Commissioner provided all board chairs with additional guidance for considering increases to chief executive remuneration. This indicates the Commissioner’s expectations for reasonable increases to remuneration, taking into account individual performance and position in a remuneration range.

For 2012/13, the Commissioner is using a similar method for the setting Public Service chief executive remuneration. This is structured differently to the guidance for Crown entity chief executives, as it recognises that Public Service chief executive remuneration lags behind that of Crown entity chief executives in similar size roles. For example, for 2012/13 the Commissioner's guidance is that Crown entity chief executives who meet performance expectations may receive increases between 0.5% and 2%, while Public Services chief executives who meet performance expectations may receive increases between 1.5% and 3%.  The Commissioner's guidance to Crown entity board chairs, and his practise for Public Service chief executives is that no increases are given to chief executives who do not meet performance expectations.  This ensures that the expectations set out in the Commissioner’s remuneration policy are met.

1:  The Commissioner does not set remuneration for the chief executives of three departments: the State Services Commission, the Crown Law Office and the Government Communications Security Bureau. Remuneration for these positions is set by the Remuneration Authority.

2:  The State sector plus the organisations of local government in New Zealand collectively make up the “public sector”.

3:  Includes central and local government and trading and non-trading organisations